FAKTOR EKSPOSI
Radiologysquad.blogspot.com
Faktor ekposi dalam melakukan pemeriksaan radiografi sangatlah penting. karena berhungan dengan tingkat densitas dan juga kontras pada hasil radiograf . Percuma positioning pasien bagus tetapi tidak di imbangi dengan kondisi penyinaran ( Faktor ekposi ) yang bagus pula.
Faktor eksposi terdiri dari kV ( kilo volt ), mA ( mili Amper ) dan s ( second ) . kV adalah satuan beda potensial yang di berikan antara katoda dan anoda di dalam tabung rontgen. mA adalah suatu arus tabung, dan s adalah satuan waktu penyinaran. mAs akan menentukan kuantitas sinar - x.
Faktor eksposi mA dan s memiliki hubungan yang sangat penting dalam penentuan kuantitas radiasi.Pertambahan mAs akan mempengaruhi pertambahan kuantitas radiasi dan pertambahan densitas Radiografi.
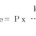
Besarnya nilai eksposi yang dihasilkan oleh pesawat sinar-X dapat dihitung dengan menggunakan rumus :
Keterangan :
· D : FFD (cm)
· kV : Tegangan tabung
· mAs : mAs yang digunakan
· P : Ketetapan yang nilainya adalah 15 dan besarnya tergantung dari filtrasi dan ukuran penyinaran yang diberikan
Sedangkan perhitungan nilai mAs dengan perubahan kV adalah :
Catatan :
kV24 digunakan apabila faktor IS dan Grid diperhitungkan, dan apabila tidak, maka menggunakan rumus :
1. (KV)
Sinar x baru akan dihasilkan jika tumbukan electron di anoda tepatnya di target, sangat cepat dan seketika itu di hentikan mendadak. Electron yang di hasilkan katoda tidak akan bisa bergerak dengan sangat cepat jika tidak di beri beda potensial yang sangat tinggi antara anoda dan katoda. Electron yang di hasilkan pada katoda bermuatan negative sedangkan di anode bermuatan positif.
Pengaruh kV terhadap Intensitas
Besaran kv pada umumnya di kaitkan dengan daya tembus sinar, makin tinggi kv yang digunkan makin besar pula daya tembusnya sinar, demikian pula sebaliknya. Umumnya, jumlah kv menunjukan kualitas radiasi. Bila kv di naikan maka densitas foto meninggi, kontras rendah dan sinar hambur meningkat. Pada radiodiagnostik penggunaan kv antara 50 – 80 kv, setiap kenaikan atau penurunan 10 kv. mAs dapat dinaikan atau di turunkan sekitar 50%.
Peningkatan KVP sehingga elektron mendapatkan energi tinggi menyebabkan kualitas energy lebih besar sehingga penetrasinyapun juga lebih besar.Daya tembus jaringan dengan penggunaan energi yang lebih tinggi sehingga menimbulkan efek Compton. Sehingga menghasilkan radiasi hambur dan mengurangi kontras.
Anode Heel Effect
Anode Heel Effect adalah suatu perbedaan intensitas sinar x akibat adanya perbedaan sudut pada anoda.Anoda sebagai tempat menumbuknya electron arahnya tidak luruh akan tetapi memiliki sudut. Sudut yang di bentuk akan mengarah ke katoda makaintensitas sinar x akan meningkat lebih dari yang berada pada central ray atau pusat sinar. Anode heel effect dapat di terapkan pada pemeriksaan pada objek yang panjang akan tetapi mempunyai ketebalan yang berbeda, seperti pada pemerikaan os. Femur.
Pada os. Femur bagian proximal lebih tebal daripada bagian distal. Untuk menghasilkan densitas yang sama antara bagian proximal dengan bagian distal, maka harus diatur bagian proximal di letakan di bawah katoda dan bagian distal di letakkan di bawah anode sehingga radiograf yang di hasilkan akan memiliki densitas yang relative sama antar bagian proximal dan bagian distal os femur.
Pengaruh kV terhadap gambaran
Apabila penggunaan kV yan tidak tepat maka akan terjada kesalahan pada gambar radiograf yaitu over ekspouse (gambaran dengan densitas terlalu tinggi akibat factor eksposi terlalu tinggi) dan under ekspouse (gambaran dengan densitas terlalu rendah akibat penggunaan factor eksposi terlalu rendah).
Penggunaan kV yang terlalu tinggi akan menyebabkan radiasi hambur (scatter radiation). Hal ini di karenakan sinar yang di hasilkan dari kV yang tinggi akan memiliki intensitas yang tinggi pula. Saat berinteraksi dengan objek, sinar x yang memiliki intensitas yang tinggi akan di teruskan dan ada pula yang dipantulkan. Sinar x yang di pantulkan ini dapat menyebabkan penghitaman pada film sehingga gambaran yang dihasilkan akan memiliki densitas yang tinggi. Untuk mencegah hal ini maka di perlukan grid.
2. (mAs)
mAs adalah salah satu carauntuk mengukurmuatan elektrostatik. Ini menentukanjumlah/kuantitas elektron. mAs adalah perkalian antara besaran nilai ampere dengan waktu eksposi. mAs menunjukan kuantitas radiasi. Contoh :
MAS = MA X S
100 X 1/10 detik
400 X 1/40 detik
50 X 1/5 detik
Dengan contoh di atas mAs dapat di peroleh dengan berbagai cara, sehingga untuk organ yang bergerak yang memerlukan waktu yang singkat dapat menggunakan MA tertentu.
Peningkatan mA akan menambah intensitas sinar-x, dan penurunan mA akan mengurangi intensitas. Oleh sebab itu, derajat terang dapat diatur dengan mengubah mAs. Waktu pemaparan biasanya di buat sesingkat mungkin untuk mengurangi kekaburan pada radiograf akibat pergerakan pasien.
Sekian Semoga Bermanfaat, #Radiologysquad.blogspot.com



No comments:
Post a Comment